Math – 2021 AMC12A #19 By Calvin Huang

Category:

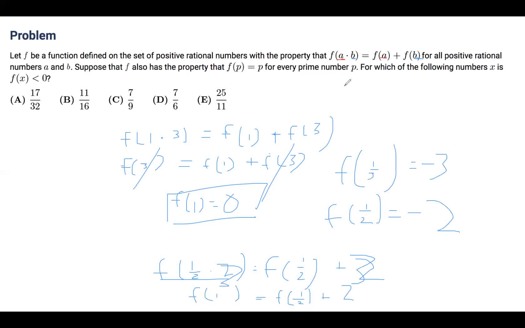
Description

Learn how to solve the 2021 AMC12A Problem 19 with Calvin

Reviews

There are no reviews yet.

Be the first to review “Math – 2021 AMC12A #19 By Calvin Huang”

Your email address will not be published. Required fields are marked *